시계열 알고리즘_AR/MA/ARMA
2020. 12. 18. 09:48ㆍData Science/02_Time Series Analysis
반응형
Time Series Analysis Method
: 시계열 데이터 분석 방법 중 가장 기초적인 단순 선형 확률과정 알고리즘을 살펴봄
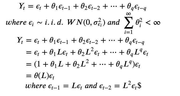
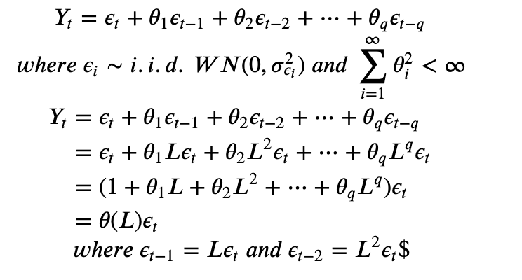
1. MA(Moving Average)
: MA(q) 알고리즘 차수(q)가 유한한 가우시안 백색잡음과정의 선형조합
: Exponential Smoothing 내 Moving Average Smoothing은 과거의 Trend-Cycle을 추정하기 위함이고, MA는 미래 값을 예측하기 위함
: 움직임 특성
- Stationarity Condition of MA(1): |𝜃1|<1|θ1|<1
- Stationarity Condition of MA(2): |𝜃2|<1|θ2|<1, 𝜃1+𝜃2>−1θ1+θ2>−1, 𝜃1−𝜃2<1

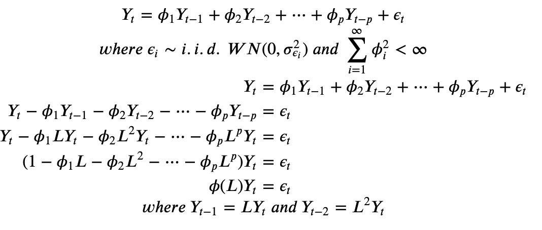
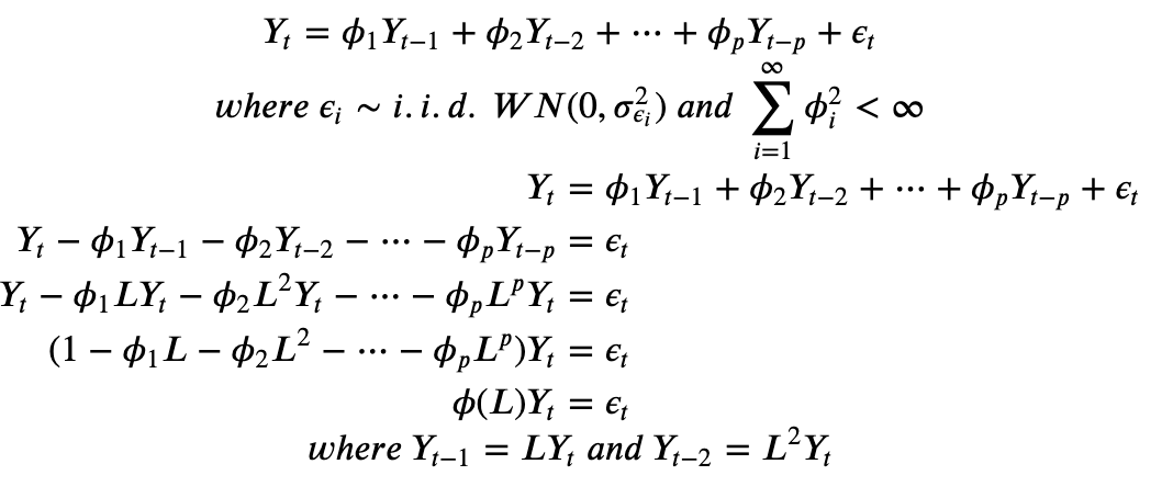
2. AR(Auto-Regressive)
: AR(p) 알고리즘의 차수(p)가 유한한 자기자신의 과거값들의 선형조합
: ACF가 시차(Lag)가 증가해도 0이 되지 않고 오랜시간 남아있는 경우에 MA모형을 사용하면 차수가 ∞로 감
- 𝜙1=0: 𝑌𝑡Yt는 백색잡음
- 𝜙1<0: 부호를 바꿔가면서(진동하면서) 지수적으로 감소
- 𝜙1>0: 시차가 증가하면서 자기상관계수는 지수적으로 감소
- 𝜙1=1: 𝑌𝑡Yt는 비정상성인 랜덤워크(Random Walk)
: 움직임 특성
- 시차가 증가하면서 자기상관계수의 절대값은 지수적으로 감소
- 진동 주파수에 따라 다르지만 진동 가능
- Stationarity Condition: |𝜙1|<1|ϕ1|<1, 𝜙1+𝜙2<1ϕ1+ϕ2<1, 𝜙2−𝜙1<1

3. ARMA(Auto-Regressive Moving Average)
: ARMA(p, q) 알고리즘 차수(p and q)가 유한한 AR(p)와 MA(q)의 선형조합
- 𝐴𝑅AR과 𝑀𝐴MA의 정상성 조건과 가역성 조건이 동일하게 𝐴𝑅𝑀𝐴ARMA 알고리즘들에 적용
- 종속변수 𝑌𝑡Yt는 종속변수 𝑌𝑡Yt와 백색잡음(𝜖𝑡ϵt) 차분들(Lagged Variables)의 합으로 예측가능

반응형
'Data Science > 02_Time Series Analysis' 카테고리의 다른 글
| 시계열 데이터 분석 싸이클 (0) | 2021.01.04 |
|---|---|
| 시계열 알고리즘_ARIMA/SARIMA (0) | 2020.12.21 |
| 정규화(Regularization)/배깅(Bagging)/부스팅(Boosting) (0) | 2020.12.17 |
| 시계열 데이터 전처리3 (0) | 2020.12.16 |
| 시계열 데이터 전처리2 (0) | 2020.12.15 |